当前位置:首页 > 技术支持 > 技术指南

串联谐振现象是什么?

人看过  0 人点赞   

在该电路中,当电感性 电阻XL 和电容 XC性电阻相等时, 电路的XL = XC 总电阻Z将最小,而纯有源 Z = R,电流将最大


image.png


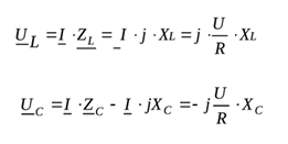
电感和电容元件上的压降是根据欧姆定律计算的


image.png


因为理想电感U L的XL = XC 电压值等于U电容C的电压。 ,但电压U L和U C的相位相反(相移180°)


image.png


具有R,L,C元件串联连接的电路的工作模式,其中XL = XC和UL=UC (或UL=-UC)称为串联谐振


应力L L 和complex C的复数之和 等于零,因此总和模量等于零。伏特计,其测量的电压降(电压复杂模块) 中的电路部与理想电感和电容将显示值= 0。在这种情况下,电流 I和电压UVX 在相一致时,有功功率p=RI02的最大值等于满功率,而无功功率电路的值为零:


image.png


串联谐振时,如果电容和电感两端的电压大大超过R,则 它们可能会大大超过提供的电压U:


image.png


发生电压升高的物理原因是交替存储在电感性元件的电容性电场和磁场中的大量能量的波动。通过电压谐振,少量能量来自电源并补偿有源元件中的能量损失-电阻R,足以在来自电场和磁场的相对大量能量的系统中维持连续振荡。而且,在任何时候,电场和磁场的总能量保持恒定。

串联谐振现象是什么?
0 人点赞
国电西高logo
国电西高官方电话
国电西高官方微信
返回顶部
国电西高产品认证
  • 承装(修、试)电力设施许可证:5-4-01248-2020
  • 全国免费咨询热线:400-8818-755
  • 销售热线:027-65605916 027-65612086
  • 售后服务:027-85568161 公司传真 027-65606183
  • 官方邮箱:hv@gdxgs.com
  • 公司地址:武汉市东西湖区创谷路东西湖科创中心A1-3栋
  • 国电西高微信公众号
    国电西高小程序
    国电西高抖音企业号
    国电西高微信视频号
    国电西高领英主页

    ©2026 武汉国电西高电气有限公司 版权所有鄂ICP备07003820号-21 鄂公网安备 42011202001536号

    联系我们 法律声明 隐私政策 地区服务